食品・医薬分野の毒性試験を革新する新規溶媒を開発 ―難溶性成分の評価精度向上と幅広い応用に期待―(2026.03.01)
2026年04月16日
金沢大学理工研究域生命理工学系の黒田浩介准教授、久保田祐介博士後期課程学生(兼:サントリーホールディングス株式会社研究員)らの研究グループは、サントリーホールディングス株式会社との共同研究で、低毒性で細胞に優しい双性イオン液体OE₂imC₃C を用いることで、従来のジメチルスルホキシド(DMSO)では困難であった食品添加物の in vitro(細胞)試験を遂行できることを新たに見出しました。
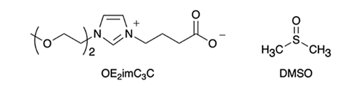
エラグ酸は抗がん作用、抗酸化作用、および抗糖尿病作用などの機能を有することから、サプリメントとして利用されています。一方で、水や DMSO に難溶であるため、毒性試験の実施には技術的な課題があります。実際、in vivo (生体)試験では肝毒性が認められない一方、in vitro (細胞)試験では高濃度で肝細胞障害が示され、この矛盾の理由は不明でした。本研究では、in vitro で観察される毒性は、DMSO に溶解しなかった、または析出したエラグ酸結晶による細胞への物理的損傷が原因であることを明らかにしました。さらに、黒田らが開発した新規溶媒OE₂imC₃C(図1)を用いることでエラグ酸の溶解性が向上し(表1)、in vitro 試験の信頼性を改善できることを確認しました。(図2)
本研究で得られた結果より、OE₂imC₃C を使った in vitro 試験法は、食品・医薬分野における難溶性物質の評価を可能にするのみならず、動物実験の低減にも寄与する有用な手法であり、今後の実用化と応用領域の拡大が期待されます。
本研究成果は、2026年3月1日0時(日本時間)に『The Journal of Toxicological Sciences』のオンライン版に掲載されました。
図1:OE₂imC₃C(黒田らのグループで開発)とDMSO(市販の低毒性有機溶媒)の化学構造
Kubota Y. ら, J. Toxicol. Sci.(2026), DOI:10.2131/jts.51.227(CC BY 4.0)
表1:OSおよびDMSOのエラグ酸の溶解性比較(OSはOE₂imC₃C 70%水溶液)
Kubota Y. ら, J. Toxicol. Sci. (2026), DOI:10.2131/jts.51.227(CC BY 4.0)
図2:エラグ酸の肝細胞毒性試験における溶媒の影響(OSはOE₂imC₃C 70%水溶液)
Kubota Y. ら, J. Toxicol. Sci . (2026), DOI:10.2131/jts.51.227(CC BY 4.0)
詳しくはこちら
ジャーナル名:The Journal of Toxicological Sciences
研究者情報:黒田 浩介


